水楊酸

結構式
| 物競編號 | 01fs |
|---|---|
| 分子式 | c7h6o3 |
| 分子量 | 138.12 |
| 標簽 |
鄰羥基甲酸, 2-羥基甲酸, 柳酸, 沙利西酸, o-hydroxybenzoic acid, 2-hydroxy benzoic acid, 芳香族羧酸及其衍生物, 酸性溶劑 |
編號系統
cas號:69-72-7
mdl號:mfcd00002439
einecs號:200-712-3
rtecs號:vo0525000
brn號:774890
pubchem號:24899681
物性數據
1. 性狀:白色針狀結晶或單斜棱晶,有特殊的酚酸味。在空氣中穩定,但遇光漸漸改變顏色。
2. 相對密度(g/ml,20/4℃):1.443
3. 相對蒸汽密度(g/ml,空氣=1):4.8
4. 熔點(oc):158~161
5. 沸點(oc,2.67kpa):210(2666pa)
6. 相對密度(25℃,4℃):0.9438159
7. 折射率(n20d):1.565
8. 閃點(oc):157
9. 氣相標準燃燒熱(焓)(kj·mol-1):-3117.2
10. 氣相標準聲稱熱(焓)( kj·mol-1) :-494.8
11. 蒸氣壓(114oc):1mmhg
12. 晶相相標準燃燒熱(焓)(kj·mol-1):3022.1
13. 晶相標準聲稱熱(焓)( kj·mol-1):-589.9
14. 臨界溫度(oc):不確定
15. 臨界壓力(kpa):不確定
16. 油水(辛醇/水)分配系數的對數值:不確定
17. 爆炸上限(%,v/v):不確定
18. 爆炸下限(%,v/v):不確定
19. 溶解性:微溶于冷水,易溶于熱水,乙醇,和丙酮,溶于熱。1克本品能溶于460毫升水,15毫升熱水,2.7毫升醇,3毫升丙酮,42毫升氯仿,3毫升醚,135毫升,52毫升松節油。
毒理學數據
1、半數致死量(小鼠,靜脈)lc50:500mg/kg
2、本品刺激皮膚、黏膜,因能與機體組織中的蛋白質發生反應,所以有腐蝕作用。大量服用能引起嘔吐、腹瀉、腹痛、呼吸困難、酸中毒癥和興奮。還可引起披榛、尿中含蛋白的多尿癥。操作人員應穿戴勞動保護用具。
生態學數據
本品對水體稍有危害。
分子結構數據
1、 摩爾折射率:35.06
2、 摩爾體積(cm3/mol):100.3
3、 等張比容(90.2k):284.4
4、 表面張力(dyne/cm):64.4
5、 介電常數:未確定
6、 偶極距(10-24cm3):
7、 極化率:13.90
計算化學數據
1.疏水參數計算參考值(xlogp):無
2.氫鍵供體數量:2
3.氫鍵受體數量:3
4.可旋轉化學鍵數量:1
5.互變異構體數量:4
6.拓撲分子極性表面積57.5
7.重原子數量:10
8.表面電荷:0
9.復雜度:133
10.同位素原子數量:0
11.確定原子立構中心數量:0
12.不確定原子立構中心數量:0
13.確定化學鍵立構中心數量:0
14.不確定化學鍵立構中心數量:0
15.共價鍵單元數量:1
性質與穩定性
1. 在空氣中穩定。見光漸漸變色。有毒。
2. 常壓下急劇加熱分解為酚和二氧化碳。1g水楊酸可分別溶于460ml水、15ml沸水、2.7ml乙醇、3ml丙酮、3ml、42ml氯仿、135ml、52ml松節油、約60ml甘油和80ml石油醚中。加入磷酸鈉、硼砂等能增加水楊酸在水中的溶解度。水楊酸水溶液的ph值為2.4。水楊酸與三氯化鐵水溶液生成特殊的紫色。
3. 本品刺激皮膚、黏膜,因能與機體組織中的蛋白質發生反應,所以有腐蝕作用。能使角膜增殖后剝離。其毒性比酚弱,但大量服用能引起嘔吐、腹瀉、頭痛、出汗、皮疹、呼吸頻促、酸中毒癥和興奮。嚴重時呼吸困難、虛脫,終致心臟麻痹而死。由于水楊酸從腎臟排出,常引起急性腎炎。家兔經口ld50:1.3mg/kg。操作人員應穿戴勞動保護用具。
4. 存在于烤煙煙葉、白肋煙煙葉、香料煙煙葉、煙氣中。
5. 在水楊樹中有微量存在。
貯存方法
1. 應貯存于陰涼、通風、干燥的庫房中,遠離火源、熱源,與易爆品、氧化劑分開存放。
2. 包裝采用內襯塑料袋,外套麻袋或聚丙烯編織袋或纖維板桶包裝。
3. 與爆炸物、氧化劑隔離。避光保存。
合成方法
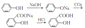
1. 酚與氫氧化鈉反應生成酚鈉,蒸餾脫水后,通二氧化碳進行羧基化反應,制得水楊酸鈉鹽,再用酸化,而得粗品。粗品經升華精制得成品。原料消耗定額:酚(98%)704kg/t、燒堿(95%)417kg/t、(95%)500kg/t、二氧化碳(99%)467kg/t。該法分為常壓法和中壓法。(1)常壓法 將酚與50%的氫氧化鈉溶液配制成酚鈉,使游離堿在1%以內,減壓脫水后,加酚作溶劑共沸脫水。然后酚鈉在溶劑酚中通入干燥的二氧化碳羧化,再用酸化即得成品。



將酚與50%氫氧化鈉按1:1.02(mol)配比加入反應器中進行反應脫水,控制游離堿≤1%,減壓脫水后,再加酚作溶劑共沸脫水。然后將酚鈉在酚中通入干燥的二氧化碳氣體,進行羧化反應3h后,第二次通入二氧化碳2h,再減壓回收酚,即羧化完畢。再向上述水楊酸鈉溶液中,加入水溶解成50%的溶液,在攪拌下加入7%-8%的酸化至ph值1-2,然后冷卻過濾,真空干燥,即得水楊酸粗品,再將粗品在減壓下升華,可得含量為99%的成品水楊酸,收率50%-70%。(2)中壓法 仍以酚為原料,先制成酚鈉,在中壓下用二氧化碳進行羧基化,生成碳酸酚酯,然后加壓進行分子重排,生成水楊酸鈉,再經酸化后處理制得水楊酸。
將酚用50%液堿中和,真空干燥,然后將釜溫冷卻至100℃,慢慢通入干燥的二氧化碳,當釜內壓力達0.7-0.8mpa時,停止通二氧化碳,此時生成碳酸酚酯鈉,然后在130-140℃下發生分子內重排異構化,變為水楊羧鈉,再用酸化,得水楊酸粗品。將粗品在減壓下升華,即得水楊酸精品,含量99%,收率達98%以上。消耗定額(kg/t):酚(98%)704,燒堿(95%)417,(95%)500,二氧化碳(99%)467。 (3)制法 酚與氫氧化鈉反應生成酚鈉鹽,然后再與二氧化碳合成鄰羥基甲酸鈉,經酸化制得水楊酸:
粗品用水溶解后經活性炭脫色,再重結晶提純。(4)將相同物質量的酚和50%的氫氧化鈉在105~130℃下反應生成酚鈉,控制游離堿1%以內。反應結束后,減壓脫水,再用酚為溶劑共沸脫水。冷卻至100℃后,通入干燥的二氧化碳進行3h羧化反應,溫度由128℃升至200℃。待溫度下降后,回收溶劑酚,2~3h后,再通入二氧化碳羧化2h,減壓回收酚。( 羧化的另一種方法是在140~180℃通二氧化碳,控制反應壓力為0.7~0.8mpa進行羧化反12h。 )羧化反應結束后,加水溶解水楊酸鈉,調成50%的溶液,邊攪拌邊加入7%~8%的溶液,使ph值達1~2,冷卻、過濾、甩干,用水洗滌數次,甩干后,再用蒸餾水加熱溶解,加入少
量活性炭,煮沸,趁熱過濾,濾液冷卻重復用蒸餾水溶解,過濾、甩干數次,即可得純品水楊酸。所得水楊酸粗品也可用減壓升華精制。過程反應式為:
2. 煙草:or,44;or,26;fc,9;fc,54;bu,26;fc,40。
用途
1、主要作為醫藥工業的原料,用于制備阿斯匹林、水楊酸鈉、水楊酰胺、止痛靈、水楊酸酯、血防-67等藥物。染料工業用于制備媒染純黃、直接棕3gn、酸性鉻黃等。還用作橡膠硫化延緩劑和消毒防腐劑等。
2、用作環氧樹脂固化的促進劑,也可作為防腐劑。可用來制備水楊酸甲酯、水楊酸乙酯等合成香料。染料工業用作制備直接染料及酸性染料等的原料。還可用作橡膠防焦劑、消毒劑等。
3、堿量法及碘量法滴定的標準。熒光指示劑。絡合指示劑。
4、本品在橡膠工業中用作防焦劑及生產紫外線吸收劑和發泡劑等。
5、用作熒光指示劑、配合指示劑、配合掩蔽劑。鈦、鋯、鎢等離子的顯色劑及防腐劑。
6、水楊酸在某些弱酸性電解液中作為添加劑,也可用作電鍍或化學鍍的絡合劑。
7、化妝品防腐劑。主要用于花露水、痱子水、奎寧頭水等水類化妝品。除防腐殺菌作用外,還有祛除汗臭、止癢消腫、止痛消炎等功能。
8. 少量用于配制動物香型香精等日用香精。微量用于食品中,起防腐劑的作用。是醫藥工業重要的原料。
擴展閱讀https://www.newtopchem.com/archives/category/products/page/170擴展閱讀https://www.newtopchem.com/archives/44169擴展閱讀https://www.bdmaee.net/bismuth-2-ethylhexanoate-2/擴展閱讀https://www.newtopchem.com/archives/43950擴展閱讀https://www.newtopchem.com/archives/873擴展閱讀https://www.bdmaee.net/wp-content/uploads/2022/08/63.jpg擴展閱讀https://www.newtopchem.com/archives/44876擴展閱讀https://www.bdmaee.net/polyurethane-thermal-delay-catalyst-nt-cate-129-heat-sensitive-metal-catalyst/擴展閱讀https://www.newtopchem.com/archives/1691擴展閱讀https://www.newtopchem.com/archives/1820

